晶振振蕩頻率以及內置LC到底有何玄機?安基前來解密
來源://hikefu.cn 作者:億金電子 2020年06月17
晶振振蕩頻率以及內置LC到底有何玄機?安基前來解密
大家知道石英晶振是電子產品的”核心”,那么你知道石英晶振的根本又是什么嗎?石英晶振的根本就是振蕩電路,不管是有源晶振還是無源晶振,振蕩電路失效就無法輸出振蕩頻率,也就無法進行其原有的功能;那么晶振振蕩頻率以及內置LC到底有何玄機呢?接下來來一探究竟.
在一個振蕩電路中,石英諧振器是作為電感阻抗在工作的.而等效電路可以由電感系列的組合來表示.如圖-5所示, 圖-5(a)為串聯電路的振蕩電路,(b)為并聯式的諧振電路. 這里電容CL是從石英諧振器兩端觀察振蕩側的有效電容,通常我們也稱之為負載電容,而r和-p是振蕩側的負電阻.
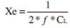
在這種振蕩電路中,石英晶振工作為感應電阻Xe和電阻Re的串聯電路,如圖6所示,根據以下公司可以計算出振蕩頻率為:
而振蕩條件就是:1)在圖5(a)所示的振蕩電路設計環境下(串聯諧振),滿足|Re|<|-R|條件方可發生起振,輸出振蕩頻率;2)在圖5(b)的振蕩電路設計環境下(并聯諧振),滿足|Rp|<|-ρ|條件方可發生起振,最終輸出振蕩頻率.再保險是串聯諧振電阻(等效串聯電阻)系列石英晶振的電路和電容CL,Rp是串聯諧振電阻(等效并聯電阻)石英諧振器的并聯電路和電容CL.
而考慮到石英諧振器在低激發時等效電阻的增大,所以為了使諧振器產生一定的振蕩,電路的負電阻(-R)必須比電感大得多.
因此,振蕩頻率是由石英諧振器的壓電常量以及振蕩電路中配置的負載電容決定的(工作溫度以及驅動能力分別指定),所以振蕩電路的負載電容必須定義清楚.石英諧振器于串聯負載電容CL的等效電路如圖-7所示,此時常數為:
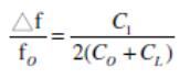
此時振蕩頻率增加Af,如:
式中,Af為與串聯諧振頻率fo之差,將此方程重新排列,等到如下方程:
其中C0/C1稱為電容比,電容比是衡量晶振因負載電容變化而引起的振蕩頻率變化量的參考.
圖8顯示了極品諧振器和第三泛音諧振器的負載電容與頻率變化率的特性.如圖-8所示,為了通過改變負載電容得到寬頻范圍內的變化量,需要使用一個基頻諧振器并選擇一個較小的負載電容.
綜上所述,振蕩頻率及負載電容雖然是貼片晶振產品的兩個不同的參數,但是振蕩頻率和負載電容之間還是有一定的聯系;振蕩頻率是由振蕩電路產生諧振之后所輸出的頻率,而所謂的負載電容(LC)就是振蕩電路中振蕩側的有效電容,且上文中明確提到電容比是衡量負載電容變化而引起的振蕩頻率變化量的參考,這足以說明問題.
大家知道石英晶振是電子產品的”核心”,那么你知道石英晶振的根本又是什么嗎?石英晶振的根本就是振蕩電路,不管是有源晶振還是無源晶振,振蕩電路失效就無法輸出振蕩頻率,也就無法進行其原有的功能;那么晶振振蕩頻率以及內置LC到底有何玄機呢?接下來來一探究竟.
在一個振蕩電路中,石英諧振器是作為電感阻抗在工作的.而等效電路可以由電感系列的組合來表示.如圖-5所示, 圖-5(a)為串聯電路的振蕩電路,(b)為并聯式的諧振電路. 這里電容CL是從石英諧振器兩端觀察振蕩側的有效電容,通常我們也稱之為負載電容,而r和-p是振蕩側的負電阻.
在這種振蕩電路中,石英晶振工作為感應電阻Xe和電阻Re的串聯電路,如圖6所示,根據以下公司可以計算出振蕩頻率為:

而考慮到石英諧振器在低激發時等效電阻的增大,所以為了使諧振器產生一定的振蕩,電路的負電阻(-R)必須比電感大得多.
因此,振蕩頻率是由石英諧振器的壓電常量以及振蕩電路中配置的負載電容決定的(工作溫度以及驅動能力分別指定),所以振蕩電路的負載電容必須定義清楚.石英諧振器于串聯負載電容CL的等效電路如圖-7所示,此時常數為:




圖8顯示了極品諧振器和第三泛音諧振器的負載電容與頻率變化率的特性.如圖-8所示,為了通過改變負載電容得到寬頻范圍內的變化量,需要使用一個基頻諧振器并選擇一個較小的負載電容.
.jpg)
正在載入評論數據...
相關資訊
- [2025-01-04]石英晶體的等效電路常數是多少?
- [2024-12-09]振蕩器定價的 3P :如何最大化您的投資...
- [2024-11-28]軍事戰術通信中的精確計時解決方案
- [2024-11-21]什么是保留?
- [2024-11-20]指定VCXO時區分APR和可拉取性
- [2024-11-18]了解負載電容和等效串聯電阻
- [2024-11-13]晶體安裝結構的重要性
- [2024-11-12]安基科技晶體可用于UWB應用


